Effect Of Stochastic Migration On an Hiv/Aids Transmission Model
Achugamonu, Pius C.1; Uwakwe Joy 2; Napoleon Inalegwu Agbo3 ; Achugamonu, Geraldine4; kingsley Ihim5; Oparaji Stanley6; Ezechinyereugo Wisdom7
1,2,3(Department of Mathematics, Alvan Ikoku Federal University of Education Owerri, Nigeria)
4(Department of Physics, Alvan Ikoku Federal University of Education Owerri, Nigeria)
5,6,7(Department of Computer Science, Alvan Ikoku Federal University of Education Owerri, Nigeria)
Abstract:
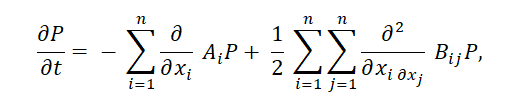
We developed a mathematical model of HIV/AIDs on varying population in [1]. In this paper we considered the effect of stochastic migrating into the susceptible class of the developed model. A system of stochastic ordinary differential equations (SODEs) was then formulated and this was analyzed. Also the Fokker-Planck equation,

was used to transform the system into a system of deterministic partial differential equation. This latter equation was analyzed and it was shown that the stochastic migration has no significant effect on the model.
Conclusion: From the analysis of the effect of stochastic migration into the susceptible class of the HIV/AIDS model in [1], several important results emerge. First, when the natural mortality rate is zero—meaning individuals die only from AIDS—the difference between the number of susceptible individuals at time t and the carrying capacity of the susceptible class remains constant. Second, in the long-term behavior of the system, the susceptible population approaches the carrying capacity, indicating convergence regardless of initial fluctuations. Third, the difference between the susceptible population and its carrying capacity follows a Gaussian distribution if and only if it was Gaussian at the initial time, demonstrating preservation of distributional structure under the model dynamics. Finally, the mean and variance of the susceptible population, expressed as E(S) and Var(S), respectively, confirm that stochastic migration introduces no significant deviation from the deterministic behavior of the system. Collectively, these findings show that stochastic migration into the susceptible class has no meaningful impact on the overall dynamics of the HIV/AIDS model.
Key Word: HIV/AIDS transmission model; Stochastic migration; Stability analysis; Epidemiological Modeling; Planck Equation, Pertturbation.
Effect-Of-Stochastic-Migration-On-an-Hiv-Aids-Transmission-Model